本文转自【都市晨报】;
被网络诈骗后
钱有可能追回来吗?
晨小编告诉你:有可能!
近日
邳州市公安局发布
资金返还通告
梳理了一批可以
发起返还的涉诈账户
具体内容一起来看看
具体内容如下
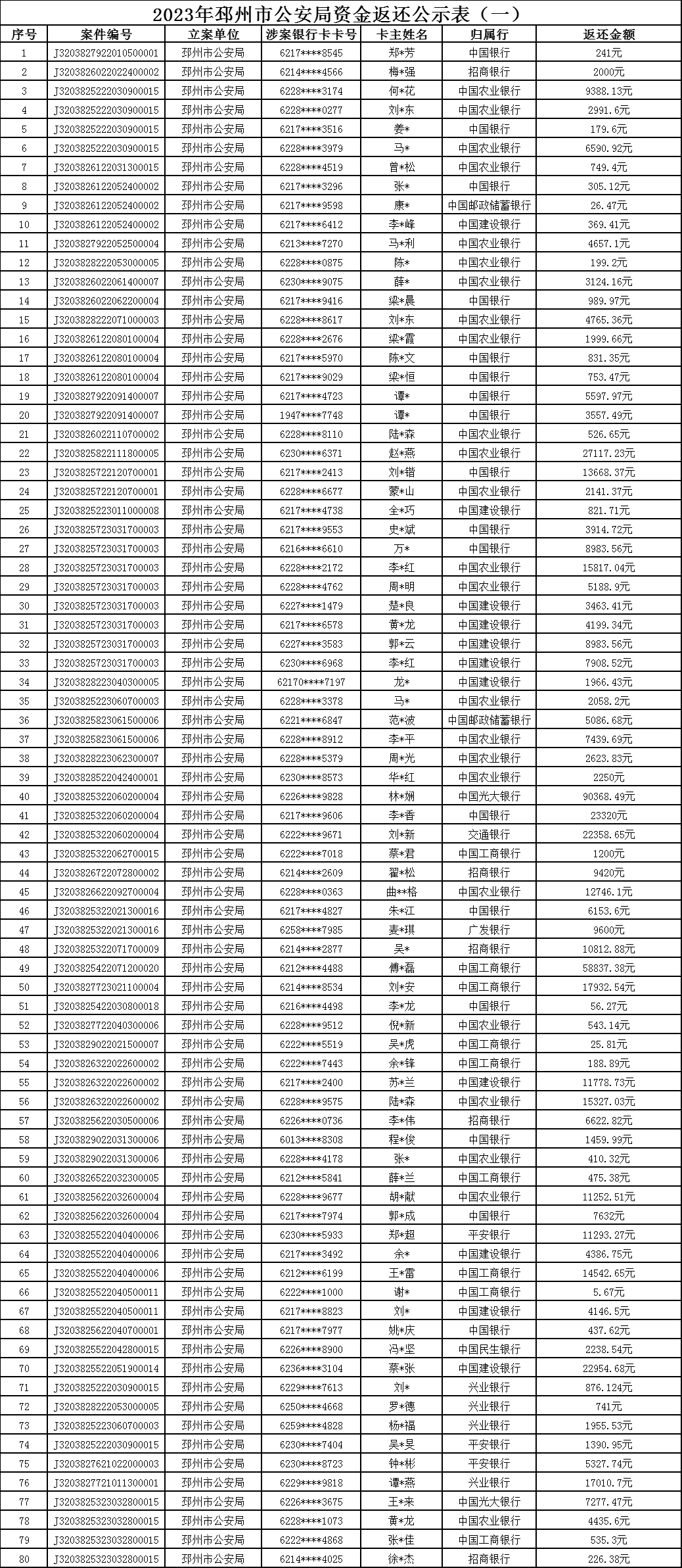
邳州市公安局资金返还通告(一)
为切实维护电信网络诈骗受害人合法财产权益,减少电信网络诈骗案件受害人财产损失,根据《中华人民共和国刑事诉讼法》第二百四十五条之规定及《电信网络新型违法犯罪案件冻结资金返还若干规定》等法律法规规定,由邳州市公安局反通讯网络诈骗中心牵头梳理一批可以发起返还的涉诈账户,按照资金返还比例计算方法,现就该批资金返还(比例返还)事项进行公告,内容如下:

对以上返还事宜进行公告,公示期限为30日。如有异议,请在公告期内提出申请,公告期满后我局将依程序返还账户内资金。
联系人:张警官
联系电话:0516-86224500
联系地址:江苏省邳州市运河镇青年东路40号刑事警察大队反诈中心
特此公告
邳州市公安局
2023年10月28日
小编提醒大家
面对花样百出的诈骗招数
一定要牢记
不明链接不点击
账户信息不泄露